销售热线:
400 8353 166 -1

研究要点
在新能源汽车产业快速发展的当下,锂离子电池的性能诊断、寿命预测与健康管理成为行业核心研究方向。电化学阻抗谱(EIS)作为分析电池内部电化学过程的关键手段,能精准捕捉电池的欧姆电阻、界面动力学、扩散行为等信息,但传统测试手段难以有效解耦正负极各自的阻抗贡献,且三电极测试体系易受电流不均匀、堆叠对准偏差等因素影响产生测试伪影,导致阻抗数据失真,无法为电池模型校准、健康诊断提供精准的微观依据,成为制约动力电池研发与应用的关键痛点。
近日,通用汽车团队在国际期刊ECS Advances发表重磅研究成果,研发出一款可集成于多层软包电池的通用型磷酸铁锂薄膜参比电极,成功解决了锂电池阻抗解耦与测试伪影两大难题,为动力电池全生命周期阻抗分析与管理提供了全新技术方案。

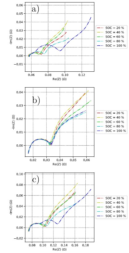
▲Fig1. 间隔20% SOC的EIS Nyquist 曲线 (a)正极 (b)负极
(c)全电池, 频率范围3 kHz-1mHz.
研究亮点:
LiFePO4参比电极
精准阻抗分析
这款全新设计的参比电极,从结构、性能到测试应用实现多重创新,彻底打破传统测试的局限性,核心亮点尽显技术优势:
低干扰设计,对电池本体性能无显著影响
参比电极采用LiFePO4超薄薄膜结构,孔隙率与电池隔膜高度匹配,集成后仅增加一层隔膜相关的欧姆和液相传输电阻,即使在1C 倍率下,对电池整体电化学信号的影响也微乎其微,保证了测试结果的真实性与客观性。
消除测试伪影,实现宽频高保真阻抗测试
与传统点式、线式参比电极不同,该电极覆盖正负极间整个电化学活性界面,有效抑制了电流/ 电解液通量不均匀、电池堆叠对准偏差带来的测试伪影;仅在2KHz 以上高频段存在轻微的系统固有电感干扰,可实现3kHz至 1mHz 宽频范围的高保真 EIS 测试,为全维度阻抗分析提供可靠数据。
精准阻抗解耦,区分正负极各自阻抗贡献
通过将该参比电极集成于1.4Ah 多层软包电池(石墨负极+ 1% Al 掺杂 NCM811 正极),研究团队成功实现了正极、负极、全电池阻抗的精准分离,可清晰捕捉不同荷电状态(SOC)下正负极阻抗的独立变化规律:正极动力学电阻在中等 SOC 区间最小,高低 SOC 下因锂浓度极端化显著增大;负极动力学电阻受 SOC 影响极小,与锂电池负极活性材料利用率更低的特性高度契合。
频域-时域高度统一,实现数据工程化转化
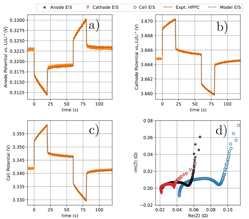
借助傅里叶变换技术,将EIS 频域阻抗数据重构为混合脉冲功率特性(HPPC)的时域电压响应,结果与实际 HPPC 测试数据偏差处于噪声水平内,即使 10ms 高采样率下也能精准匹配。这一突破解决了阻抗谱数据向工程应用转化的关键问题,让实验室的高频阻抗分析能直接服务于车用电池的实际研发与管控。

Fig 2 利用电化学阻抗谱(EIS)数据模拟时域
高压脉冲电流(HPPC)脉冲的数学过程
研究意义:
从实验室到工程应用,
赋能电池全生命周期管理
这项研究成果不仅在电化学测试技术层面实现创新,更从动力电池研发、生产、应用全链条提供了核心支撑,兼具理论价值与工程实践意义:
为电池模型开发降本增效
该参比电极的测试结果可直接适配伪二维(P2D)电池模型,无需复杂的三维 / 四维建模,大幅降低了电池电化学模型的开发难度与计算成本,为精准电池模型的快速迭代提供数据支撑。
支撑电池全生命周期健康诊断
该技术可实现电池从初始成型、使用中期到寿命末期的全生命周期阻抗追踪,清晰解析不同老化阶段正负极阻抗的变化规律,为电池健康状态(SOH)评估、寿命预测提供精准的微观依据,助力电池梯次利用与回收的科学决策。
赋能车用电池工程化应用
车用动力电池在实际工作中,终端电压/ 电流会因逆变器、电机产生大量纹波噪声。该技术实现的精准阻抗分析,能帮助工程师清晰理解电池对复杂电信号的响应,为电池热管理优化、安全仿真、状态估计等核心环节提供关键数据,推动阻抗基诊断技术在先进电池管理系统(BMS)中的集成应用。
为动力电池研发提供全新测试手段
该参比电极的集成与测试方法,为锂离子电池正负极材料研发、电极结构优化、电解液配方改进提供了精准的阻抗分析工具,可快速筛选出性能更优的电池材料与结构设计,加速高性能动力电池的研发进程。

Fig 3 对比了10% SoC 下HPPC电压响应的
实际测数据和
基于EIS数据采用傅里叶转换预测的数据
(a) 负极,(b)正极,(c)全电池,
(d)计算得到的数据
此次通用汽车的研究成果,让锂离子电池的阻抗分析从“整体模糊判断”走向“正负极精准解析”,为电化学测试技术与动力电池工程应用的深度结合树立了典范。随着该技术在电池研发与生产中的进一步落地,将持续推动新能源汽车动力电池向更高性能、更长寿命、更高安全方向发展,为新能源汽车产业的高质量发展注入新动能。
参考文献
Elucidating Individual Impedance Contributions via a Versatile Reference Electrode for Lithium-Ion Batteries, Anne Zhang, Brian J. Koch, ECS Advances, 2026, DOI:10.1149/2754-2734/ae3781
上一个: 没有了
华东地区(上海总部)
联系地址:上海外高桥富特东三路526号1幢二层
联系电话:021-58685111-AMT SI,4008353166转1
华北地区(北京)
联系地址:北京市顺义区安祥大街12号院北京环普国际科创园5号楼6层
联系电话:010-85262111-15, 4008353166转1
西北西南地区(成都)
联系地址:成都市锦悦西路160号高新孵化园9号楼F座10楼9-10号
联系电话:028-8675811-AMT SI,4008353166转1
华中华南地区(广州)
联系地址:广州市越秀区东风东路767号东宝大厦810室
联系电话:020-83634768-AMT SI,4008353166转1
北京维修中心
联系地址:北京市顺义区安祥大街12号院北京环普国际科创园5号楼6层
联系电话:010-85262111-12,186 0067 3523
投诉电话
联系地址:北京市顺义区安祥大街12号院北京环普国际科创园5号楼6层
联系电话:010-85262111-15,138 1746 0237